Los dispositivos de soporte ventricular de corta duración están indicados en los pacientes con shock cardiogénico refractario1. Dada la complejidad de estos pacientes, se recomienda focalizar su asistencia en centros especializados de alto volumen2. La experiencia reportada en España sigue siendo escasa3, y existe poca información sobre el efecto de la curva de aprendizaje en este escenario4, sin existir datos en nuestro medio. Nuestro grupo publicó previamente la experiencia inicial en pacientes sometidos a asistencia ventricular con membrana de oxigenación extracorpórea (AV-ECMO)5. El objetivo de este estudio es analizar el efecto de la curva de aprendizaje en la selección y evolución clínica de pacientes sometidos a AV-ECMO.
Se incluyeron los pacientes consecutivos sometidos a AV-ECMO en la unidad coronaria entre diciembre de 2009 y marzo de 2015. Se dividió a los pacientes en: a) período inicial (diciembre 2009-octubre 2012), y b) período posterior (noviembre 2012-marzo 2015). Se compararon características basales, indicaciones de AV-ECMO y evolución clínica intrahospitalaria entre ambos grupos. Se registraron prospectivamente características basales, indicaciones de AV-ECMO, manejo intrahospitalario, complicaciones y mortalidad intrahospitalaria. Dado el pequeño tamaño muestral, la comparación de variables cuantitativas entre ambos grupos se realizó mediante la prueba U de Mann-Whitney. La comparación de variables categóricas se realizó mediante la prueba Chi-cuadrado con corrección de continuidad en caso indicado. Las curvas de supervivencia se elaboraron mediante el método de Kaplan-Meier, con análisis de la significación estadística mediante log-rank test.
En todos los casos del período inicial se utilizó el oxigenador Quadrox-D® (Maquet; Wayne, New Jersey, EE.UU.) y la bomba centrífuga Jostra Rotaflow® (Maquet), excepto en un caso en que se utilizó la bomba centrífuga Centrimag® (Thoratec; Pleasanton, California, EE.UU.). En los 11 últimos casos, todos correspondientes al segundo período, se utilizó el oxigenador Quadrox-IR® y la bomba CardioHelp® (Maquet).
Se incluyeron 29 pacientes, 16 en el período inicial y 13 en el período posterior. Las características de los 2 grupos figuran en la tabla. No se apreciaron diferencias significativas en sexo, edad ni en situación hemodinámica, estando la mayoría de pacientes en ambos grupos en situación catastrófica (INTERMACS 1 87,5 vs. 92,3%; p=ns). En los pacientes del segundo período se apreció mayor protagonismo del síndrome coronario agudo y menor prevalencia de miocardiopatía previa como causa del shock, sin alcanzar significación estadística dichas diferencias. Se apreció asimismo una tendencia a mejor función renal basal y una fracción de eyección del ventrículo izquierdo, significativamente inferior en los pacientes del segundo período.
Carcaterísticas clínicas, manejo y evolución intrahospitalaria en función del período de ingreso
| Período inicial (n=16) | Período posterior (n=13) | Valor de p | |
|---|---|---|---|
| Edad | 56 (50-65) | 54 (47-57) | 0,442 |
| Sexo masculino | 11 (68,8) | 10 (76,9) | 0,474 |
| Causa del shock | |||
| Síndrome coronario agudo | 7 (43,8) | 7 (53,8) | 0,098 |
| Miocarditis | 3 (18,8) | 2 (15,4) | |
| Miocardiopatía previa | 6 (37,5) | 2 (15,4) | |
| Otros | — | 2 (15,4) | |
| INTERMACS 1 al ingreso | 14 (87,5) | 12 (92,3) | 0,669 |
| Creatinina al ingreso; (mmol/l) | 202 (149-240) | 126 (87-207) | 0,056 |
| Creatinina máxima; (mmol /l) | 222 (168-318) | 207 (124-353) | 0,637 |
| PH al ingreso | 7,30 (7,19-7,40) | 7,19 (7,16-7,30) | 0,124 |
| Pico lactato; (mmol/l) | 4,3 (2,8-10,5) | 5,7 (2,9-18,5) | 0,565 |
| Bicarbonato al ingreso; (mmol/l) | 20 (18-22) | 18 (12-21) | 0,158 |
| FEVI | 22 (14-30) | 15 (10-20) | 0,050 |
| Planteamiento inicial | |||
| Puente a recuperación | 3 (18,8) | 10 (76,9) | |
| Puente a trasplante | 8 (50) | 1 (7,7) | 0,006 |
| Puente a decisión | 5 (31,3) | 2 (15,4) | |
| Días ECMO | 5 (2-8) | 8 (5-11) | 0,039 |
| Cambio a asistencia biventricular central | 3 (18,8) | 4 (30,8) | 0,374 |
| Contrapulsación intraaórtica | 12 (75) | 11 (84,6) | 0,435 |
| Catéter de Swan-Ganz | 11 (68,8) | 8 (61,5) | 0,685 |
| Depuración extrarrenal | 5 (31,3) | 7 (53,8) | 0,396 |
| Hemorragias | 9 (56,3) | 9 (69,2) | 0,372 |
| Infecciones | 9 (56,3) | 11 (84,6) | 0,216 |
| Congestión pulmonar en ECMO | 5 (31,3) | 2 (15,4) | 0,292 |
| Evolución del soporte ventricular | |||
| Destete | 3 (18,8) | 4 (30,8) | 0,609 |
| Trasplante | 4 (25) | 4 (30,8) | |
| Muerte en terapia | 9 (56,3) | 5 (38,5) | |
| Mortalidad hospitalaria | 10 (62,5) | 6 (46,2) | 0,186 |
| Días hasta exitus hospitalario | 9,2 (4-12) | 27,1 (11-48) | 0,071 |
Las variables cuantitativas se muestran como mediana (p25-p75). Las variables categóricas se muestran como n (%).
FEVI: fracción de eyección de ventrículo izquierdo.
Por otro lado, se apreció un mayor número de pacientes con indicación de AV-ECMO como puente a trasplante en el primer período, y como puente a recuperación en el segundo, probablemente en relación con la etiología del shock. Se apreció también una duración significativamente mayor del soporte con AV-ECMO en el segundo período, así como un porcentaje ligeramente superior de pacientes en los que se realizó cambio a dispositivo de soporte biventricular central en el segundo período, aunque sin diferencias significativas. Tampoco hubo diferencias significativas en la incidencia de complicaciones hemorrágicas o infecciosas entre ambos grupos.
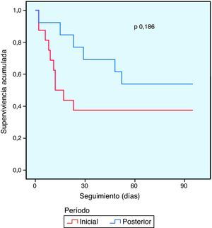
La figura 1 muestra las curvas de supervivencia de ambos grupos, a pesar de no existir diferencias relevantes en el perfil de gravedad de los mismos, se aprecia una tendencia a menor mortalidad en los pacientes del segundo período, sin diferencias significativas posiblemente debido al pequeño tamaño muestral. Por otro lado, dentro de los pacientes fallecidos el tiempo hasta exitus fue más largo en los pacientes del segundo período.
La principal limitación del trabajo es que se trate de un registro de un solo centro con escaso número de pacientes, Además al ser un registro observacional no permite descartar la presencia de un sesgo de selección o la influencia de potenciales confusores en la mortalidad hospitalaria. A pesar de ello, nuestros datos ilustran razonablemente los cambios en la selección y manejo fruto del entrenamiento en esta técnica y permiten vislumbrar una tendencia a la reducción de mortalidad hospitalaria, que en nuestra opinión podría deberse en parte al efecto de la curva de aprendizaje.




