INTRODUCCION
Hasta ahora, la variable más utilizada como resultado final de modelos predictivos de la gravedad en paciente críticos ha sido la condición dicotómica mortalidad/supervivencia1-4. Sin embargo, la aplicación de este parámetro a patologías de baja mortalidad, aunque consumidoras importantes de recursos, como el postoperatorio de cirugía cardíaca, donde la mortalidad suele ser inferior al 5%, supone una dificultad para generar modelos estadísticos válidos para la descripción del proceso o para llevar a cabo una planificación adecuada5,6.
Durante el postoperatorio de cirugía cardíaca la estancia en la Unidad de Cuidados Intensivos (UCI) suele ser corta: a ello ha contribuido en los últimos años la generalización de la extubación precoz, fast-track7. Como consecuencia, una estancia en UCI superior a la considerada como habitual en un medio hospitalario determinado puede significar, además de morbilidad o complicaciones postoperatorias, un problema para la programación de las intervenciones siguientes.
Por tanto, podría resultar de interés estimar ya en las primeras horas tras la intervención quirúrgica la probabilidad de requerir una estancia prolongada en UCI. Los objetivos en el presente trabajo han sido, en primer lugar, la identificación de variables predictoras de una estancia en UCI mayor de 7 días tras cirugía cardíaca con circulación extracorpórea (CEC) y, en segundo lugar, la construcción de un modelo para estimar la probabilidad de desarrollar este evento.
MÉTODOS
Durante un período de 3 años (01/01/98 a 31/12/01) fueron estudiados los pacientes ingresados en nuestra Unidad procedentes de quirófano de cirugía cardíaca, tras ser intervenidos bajo CEC. Fueron excluidos los pacientes menores de18 años y también los intervenidos sin bypass cardiopulmonar.
La lista de variables independientes recogidas por caso incluyó: sexo, edad, superficie corporal calculada a partir de peso y talla, cirugía cardíaca o vascular previas, días de estancia hospitalaria pre-UCI, valor de la escala de riesgo preoperatorio de Parsonnet8, tipo de intervención (coronaria, valvular, mixta: coronaria + valvular, u otras, por ejemplo: cierre de comunicación interauricular), tiempos de clampaje, isquemia y CEC en minutos, tiempo completo de la intervención (de "piel a piel"), uso de balón de contrapulsación intraaórtico, valores al ingreso en UCI del índice cardíaco (IC), presión venosa central (PVC), gasometría arterial con FiO2: 1,00 (pH, PaO2 y PaCO2); puntuaciones de gravedad APACHE II, Acute Physiology Score de APACHE III y SAPS II en el día de ingreso1-3; número de horas de intubación tras la intervención; número de días de estancia en UCI y mortalidad o supervivencia como resultado del ingreso.
Para la condición dicotómica de la variable dependiente se fijó como criterio positivo una estancia superior a 7 días en UCI. Este punto de corte corresponde al percentil 75 de toda la estancia acumulada por la casuística de cirugía cardíaca de nuestro centro, y en la práctica resultaría muy poco probable en nuestro medio que un paciente sin complicaciones postoperatorias superase esta estancia en Cuidados Intensivos.
De forma preferente se consideraron variables primarias para el análisis estadístico por estimarse a priori para ellas una mejor capacidad predictora. Como consecuencia, los valores y parámetros derivados como la escala de riesgo preoperatorio de Parsonnet y las puntuaciones de gravedad de APACHE II, APS III y SAPS II se utilizaron exclusivamente con fines descriptivos de la población en estudio.
El procesamiento estadístico de los datos se llevó a cabo por medio del programa SPSS para Windows, versión 11.0.1 (SPSS Inc., Chicago, Illinois). Se realizó un análisis de regresión logística múltiple mediante el método condicional por pasos hacia delante. En las variables seleccionadas como predictoras, un intervalo de confianza de la odds ratio (OR) conteniendo el valor 1 se consideró un criterio por el cual la variable era eliminada de la ecuación.
Con objeto de examinar la influencia sobre la selección de variables predictoras de los pacientes que fallecieron con estancia inferior al punto de corte, que serían interpretados por el análisis como "casos favorables", se realizó un segundo análisis estadístico con exclusión de dichos casos de la muestra, comparando la selección de variables y su significación predictora en ambas situaciones.
Se investigó la colinealidad entre variables, de forma que ante un cluster de variables fuertemente correlacionadas entre sí, se escogería una variable única en representación de todas las variables del agrupamiento.
La categorización de variables continuas se llevó a cabo tras confirmar la capacidad predictora de la correspondiente variable numérica al asociarse de forma significativa con la variable dependiente. Las nuevas variables cualitativas que sustituyeron a las variables cuantitativas de origen, se introdujeron en lugar de éstas en el análisis de regresión logística múltiple y fueron sometidas a idéntico proceso de selección.
Para cada variable incluida definitivamente en la ecuación, se obtuvieron los valores de la OR y su intervalo de confianza para el 95% (IC 95%).
Finalmente, la calibración y discriminación del modelo en la muestra de desarrollo se determinaron, respectivamente, por medio de la prueba de bondad del ajuste de Hosmer-Lemeshow9 y del valor del área bajo la curva ROC10.
RESULTADOS
Fueron estudiados 483 pacientes, 299 hombres y 184 mujeres, con una edad media de 64,1 años (desviación estándar [DE], 10,8) (rango, 27 a 85). Treinta y cuatro pacientes (7%) ya habían sido sometidos a cirugía cardíaca con anterioridad y 18 habían sido sometidos a cirugía vascular previa. En 260 pacientes se realizó revascularización coronaria, y en 86 cirugía valvular; en otros 33 pacientes la cirugía fue mixta, coronaria y valvular; finalmente, 4 pacientes se sometieron a procedimientos de cierre de comunicación interauricular. El tiempo de estancia hospitalaria pre-UCI fue de 12,4 días (DE, 10,4) (rango, 0 a 158), y la estancia en UCI fue de 8,6 días (DE, 9,8) (rango 1 a 100). La distribución del porcentaje de enfermos ingresados en la UCI a lo largo del tiempo se muestra en la figura 1.
Figura 1. Curva actuarial del tanto por ciento de pacientes que siguen en la Unidad de Cuidados Intensivos (UCI) en relación con el tiempo de estancia.
Se encontró una elevada colinealidad entre los tiempos quirúrgicos de clampaje, isquemia, CEC y de intervención "de piel a piel", por lo que a efectos de análisis estadístico se consideró exclusivamente el tiempo de CEC como única variable representativa de este agrupamiento.
Los pacientes con estancia en UCI inferior o igual a 7 días (grupo I) fueron 225 hombres y 119 mujeres, que registraron una estancia media de 4,7 días (DE, 1,3) (rango, 1 a 7). El grupo de pacientes con estancia superior a 7 días (grupo II) fueron 74 varones y 65 mujeres, con estancia media de 18,4 días (DE, 14); (rango, 8 a 100). El resto de comparaciones entre ambos grupos se resume en la tabla 1.
No se observaron diferencias significativas de las variables independientes según se incluyeran o no en el análisis los pacientes fallecidos con 7 o menos días de estancia en UCI.
El modelo probabilístico incluyó finalmente como variables: sexo masculino, edad en años, necesidad de balón de contrapulsación aórtica, valor de la PVC en mmHg, presencia de pH inferior a 7,30, IC al ingreso ≤ 2,2 l/min/m2, y necesidad de intubación por tiempo > 12 horas. La OR y los IC 95% de estas variables quedan expresados en la tabla 2.
La calibración del modelo mediante la prueba de bondad del ajuste de Hosmer-Lemeshow con las probabilidades ordenadas en una distribución de 10 estratos, tal como queda reflejado en la tabla 3, muestra que no existen diferencias significativas (p > 0,05) entre lo observado y lo predicho.
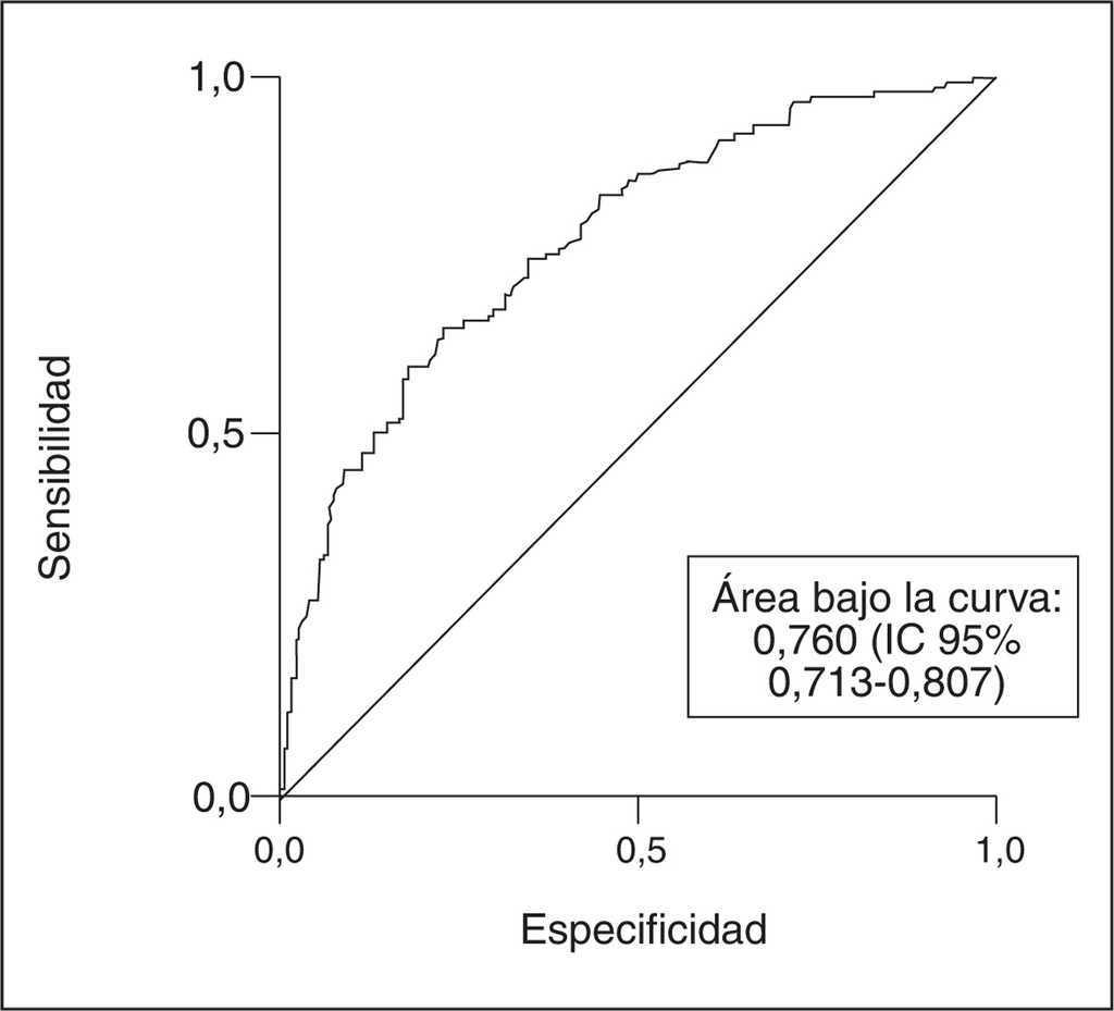
La estimación de la discriminación según la curva ROC muestra un área bajo esta curva con un valor de 0,760 con IC 95%: 0,713-0,807 (fig. 2).
Figura 2. Prueba de discriminación mediante curva ROC para la muestra de desarrollo.
DISCUSION
Hasta el momento actual, sólo unas cuantas variables se han considerado de interés como medida del resultado final en el desarrollo de modelos de predicción en cirugía cardíaca5. Aunque el riesgo de mortalidad podría parecer la determinación preferente en estos pacientes6,11,12, posiblemente la variable de resultado más analizada sea el riesgo de desarrollar morbilidad postoperatoria, bien en sentido genérico13,14 o referida a complicaciones específicas como fibrilación auricular15,16, fallo renal17,18 o daño cerebral19. También el riesgo de requerir intubación prolongada ha sido considerado una variable de interés en varios estudios20-25, lo mismo que el riesgo de presentar infecciones26, o de necesitar transfusiones27. En general, el diseño de estudios bajo estos planteamientos se ha considerado un avance importante en la evaluación de los cuidados intensivos perioperatorios de cirugía cardíaca, y entre las recomendaciones actuales está el desarrollo de nuevos estudios que analicen otras variables que puedan tener repercusión sobre el proceso5.
En nuestro caso, hemos considerado que la predicción de una estancia prolongada en Cuidados Intensivos podría suponer, además de una estimación indirecta de la morbilidad postoperatoria, una ayuda en la planificación de camas de UCI para las próximas intervenciones y una justificación de la ocupación existente en cada momento7.
Brown et al, en 2003, presentaron un trabajo realizado sobre población pediátrica dirigido también a identificar pacientes que requerirán mayor estancia en UCI tras cirugía cardíaca28, pero muchas variables clínicas no son intercambiables con las de la población adulta donde, hasta nuestro conocimiento, la predicción de este parámetro sólo ha sido llevada a cabo desde un punto de vista sociosanitario en un estudio todavía más reciente29. No obstante, estos dos estudios previos han demostrado que es posible y útil llevar a cabo este tipo de análisis predictor.
Nuestro estudio ha puesto de manifiesto varias cuestiones de interés. En primer lugar, ha sido posible identificar variables presentes a la recepción del paciente desde quirófano relacionadas con mayor probabilidad de estancia prolongada en UCI y que pueden asociarse a mayor morbilidad. A partir de estas variables, hemos obtenido un modelo predictivo con capacidad de calibración y discriminación suficientes para permitir su utilización prospectiva en otra cohorte de pacientes de características similares.
En segundo lugar, hemos encontrado que algunas variables seleccionadas por el modelo probabilístico refuerzan conceptos clínicos tradicionales en cirugía cardíaca. Así, la influencia del sexo, resultando protectora la condición sexo masculino, la importancia de la edad, o la necesidad de balón de contrapulsación intraaórtico (BCIA) pueden considerarse como conceptos clásicos o esperables de una estancia prolongada. También el valor 2,2 para el IC, que resultó seleccionado estadísticamente por los límites inferior y superior de los respectivos IC de los grupos, recobra toda su dimensión clásica como punto de corte asociado a mal pronóstico30. Lo mismo ocurre con el valor de pH al ingreso inferior a 7,30, que resultaría esperable como predictor de mala evolución, al igual que lo sería la necesidad de intubación por tiempo superior a 12 horas22,24,25, teniendo en cuenta un ámbito como el nuestro en el que se procura extubar a estos pacientes lo antes posible.
En tercer lugar, destacaremos la fuerte asociación estadística entre la primera determinación de PVC al ingreso desde quirófano y la estancia prolongada en UCI. Algunos autores como Kopman y Ferguson ya señalaron hace 20 años que la elevación de la PVC sobre la presión arterial pulmonar de enclavamiento constituye un dato desfavorable a la salida de bomba de CEC31,32, pero no hemos hallado estudios recientes en relación con sus implicaciones en términos de morbilidad y aumento de la estancia postoperatoria en Cuidados Intensivos.
Finalmente, otras variables que podrían prejuzgarse como responsables de alargar la estancia postoperatoria en UCI no han demostrado una asociación tan significativa. Así, la existencia previa de una intervención relacionada, cardíaca o vascular, no parece suponer una mayor estancia en esta población. Este hecho posiblemente sea debido a que en la mayoría de los casos la cirugía ha sido electiva y, por tanto, la decisión de la intervención quirúrgica se hizo teniendo en cuenta la valoración preoperatoria. Tampoco el tiempo de estancia hospitalaria previa a la intervención ha permitido seleccionar pacientes con mayor inestabilidad o deterioro. En cuanto al tipo de cirugía, los pacientes con cirugía valvular sólo mostraron una tendencia a prolongar su estancia frente a los otros tipos de cirugía, pero sin alcanzar significación estadística. Lo mismo se encontró con el tiempo de CEC. También es destacable que la inclusión o no de los pacientes fallecidos con 7 o menos días de estancia en UCI, considerados como "casos favorables" a efectos de análisis, no modificase la selección y significación de variables independientes predictoras de estancia prolongada. Este último aspecto podría interpretarse tanto como un dato de robustez de las variables seleccionadas, como debido a que el número de casos que fallecen en los primeros 7 días es pequeño y, por ello, carente de poder para modificar los valores de los estimadores (OR).
Nuestro estudio presenta algunas limitaciones. Además de haber sido llevado a cabo en una sola institución y contar con un número limitado de pacientes, no proporciona datos sobre cuánto predice cada variable incluida en el modelo, sino la capacidad de discriminar y de clasificar que tiene el modelo globalmente. Ante esto, es preciso no confundir el hecho de la admisión o exclusión de una variable en el modelo con su capacidad predictora. Debemos tener muy presente que la inclusión de una variable según una estrategia de modelización mide la fuerza de asociación entre esa variable independiente y la variable dependiente y la significación estadística de dicha asociación, pero no su capacidad de predecir.
En resumen, y a modo de conclusión, podemos decir que es posible identificar al ingreso en UCI variables predictoras de estancia prolongada tras cirugía cardíaca, con independencia de otros eventos postoperatorios que pudieran requerir un control de calidad aparte. Salvando las inevitables diferencias poblacionales con otras UCI, será necesario validar prospectivamente el modelo probabilístico obtenido sobre una muestra independiente de pacientes antes de proceder a su uso rutinario. En cualquier caso, el análisis de resultados mediante la utilización de estos modelos predictivos puede ser una herramienta útil en la mejora de la calidad asistencial en el postoperatorio de cirugía cardíaca.
Proyecto EPICURE para Evaluación e Investigación Epidemiológica en Cuidados Intensivos (www.epicure.org).







