INTRODUCCIÓN
La sepsis grave es un síndrome complejo de definir, diagnosticar y tratar. Se trata de una respuesta inflamatoria sistémica desencadenada por una infección, sospechada o confirmada, y asociada con el fallo de uno o más órganos o sistemas1. Esta definición se adoptó en la conferencia de consenso entre el American College of Chest Physicians y la Society of Critical Care Medicine (ACCP/SCCM) de 19922 al considerar la existencia de un espectro continuo de gravedad en el que la sepsis grave ocuparía el escalón intermedio en el proceso de la respuesta inflamatoria ante la infección entre la sepsis y el shock séptico3. El riesgo de fallecimiento aumenta a medida que se pasa de sepsis a sepsis grave, y de ésta a shock séptico, fase en la que la mortalidad alcanza el 45-50%4. Aunque los avances terapéuticos puedan disminuir el porcentaje de pacientes que fallecen a consecuencia de la sepsis5, el aumento de su incidencia está dando lugar a un incremento en el número total de fallecimientos6, identificable en las estadísticas de mortalidad7, ya que se trata de un proceso con una elevada letalidad que puede situarse entre el 30% y el 40% a los 28 días8,9. El consumo de recursos sanitarios asociado a la sepsis es muy elevado, ya que se estima que produce el 2% de las altas en hospitales terciarios, siendo su impacto especialmente relevante en las Unidades de Cuidados Intensivos (UCI)8,10,11. La sepsis conlleva una importante carga económica, que se ha estimado que en España podría estar alrededor de los 345 millones de euros anuales11.
La utilización de los datos procedentes de registros de altas hospitalarias, codificados según la Clasificación Internacional de Enfermedades, 9.ª revisión Modificación Clínica (CIE 9-MC), ha demostrado su utilidad en el estudio epidemiológico de la sepsis en general6 y de la sepsis grave en particular12,13. El objetivo de este trabajo es describir la epidemiología de la sepsis grave en la Comunidad de Madrid (CM) analizando el conjunto mínimo básico de datos (CMBD) de las altas hospitalarias del año 2001, estimar su incidencia y mortalidad, y evaluar el impacto en consumo de recursos que tiene sobre el sistema sanitario.
MATERIAL Y MÉTODOS
Fuentes de datos
La fuente de información para obtener el número de episodios de sepsis grave fue el CMBD de la CM, que recoge datos de todas las altas hospitalarias que se producen en todos los hospitales, sean estos públicos o privados, utilizando información procedente de los informes de alta. Los registros incluyen información demográfica (edad, sexo, municipio de residencia), clínica (un diagnóstico principal y hasta 12 diagnósticos adicionales codificados según la CIE 9-MC), 22 códigos de procedimientos también codificados según la CIE-9-MC, e información relativa al ingreso y al alta: motivo de ingreso y circunstancias al alta, fechas de ingreso y de alta. Los datos de población se obtuvieron del Instituto Regional de Estadística de la CM calculados a partir del Censo de 2001 del Instituto Nacional de Estadística. La población de Madrid dicho año estaba compuesta por 2.609.984 hombres y 2.813.400 mujeres, con un total de 5.423.384 habitantes. Los datos de costes se obtuvieron del Ministerio de Sanidad y Consumo a partir de la información sobre pesos de los Grupos de Diagnóstico Relacionado (GDR). Los GDR incorporan un estimador de coste para cada tipo de paciente. Cada GDR lleva asociado un peso relativo que representa el coste previsible de este tipo de pacientes respecto al coste medio de todos los pacientes de hospitalización de agudos. Un peso de valor 1 equivale al coste medio del paciente hospitalizado (estándar). Un peso por encima o por debajo de 1 significa que su coste estará por encima o por debajo respectivamente del estándar (coste del paciente promedio). Este peso se obtiene de la integración de los costes hospitalarios con la información contenida en el CMBD de hospitalización de agudos en el marco del proyecto «Análisis y desarrollo de los GDR en el Sistema Nacional de Salud». En este caso se utilizaron los pesos de los GDR obtenidos por el Ministerio de Sanidad y Consumo para el año 2002.
Selección de episodios y definiciones
La unidad de análisis de este trabajo es el episodio de sepsis grave. Se definieron como episodios de sepsis grave aquellos registros de la base de datos de altas del CMBD en los que existía la presencia de disfunción orgánica y presencia de infección. Se consideró cultivo positivo la codificación de un diagnóstico de infección por un microorganismo especificado. Las disfunciones orgánicas que se consideraron fueron: respiratoria, cardiovascular, renal, hepática, hematológica o neurológica. Los episodios se identificaron a partir de la combinación de códigos de enfermedad y códigos de procedimientos de la CIE-9-MC utilizando los criterios propuestos por Marshall14 y utilizados posteriormente por otros autores12,13. Los códigos utilizados se muestran en el apéndice. La presencia de comorbilidad subyacente se determinó a partir de la presencia de los códigos correspondientes en los campos de diagnósticos secundarios15. El coste estimado de cada alta se calculó en función del peso asignado al GDR que le corresponde, lo que representa el coste previsible de este tipo de pacientes con respecto al coste medio global en hospitalización de procesos agudos.
Análisis estadístico
Se efectuó un estudio descriptivo para conocer las características generales de los episodios registrados en el CMBD, incluyendo el tipo de infecciones detectadas. Posteriormente, se calcularon las tasas poblacionales de incidencia de hospitalización anual de sepsis grave según grupos de edad y sexo por 10.000 habitantes. Se obtuvieron las estancias medias y el coste total según las diferentes variables de interés que se incluyeron en el estudio. Finalmente, se realizó un estudio de la mortalidad por sepsis, obteniendo el porcentaje de altas por fallecimiento por grupos de edad y sexo y analizando el efecto de las diferentes variables consideradas sobre la probabilidad de fallecer mediante el cálculo de las odds ratio crudas con el intervalo de confianza al 95%.
RESULTADOS
Se identificaron 6.968 episodios de sepsis grave. Teniendo en cuenta que en Madrid, según el Boletín Epidemiológico de la CM, hubo 537.223 altas en el año 2001, esto representa un 1,3% del total. Según la tabla 1, la edad media fue de 62,5 años y el 59,7% eran hombres. Más del 60% de los episodios tenían 65 o más años. La estancia media fue de 28,9 días. El grupo con estancia media más prolongada es el de menores de 1 año (52,2 días) y la más baja es la del grupo de 85 y más años (16,2 días). El coste total estimado de la atención a la sepsis grave en la CM es de 70 millones de euros. De ellos, 26 millones se destinan a la atención de pacientes que fallecen. Los hombres consumen el 63% de dicha cantidad y los mayores de 65 años el 50%.
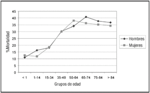
La incidencia de sepsis grave hospitalizada en la CM es de 14,1 episodios por 10.000 habitantes. Como se observa en la figura 1, la incidencia es alta en menores de 1 año (86,4 por 10.000 habitantes), disminuye en niños mayores (2,3 por 10.000 de 1 a 14 años), se incrementa suavemente a lo largo de la vida adulta (13,4 de 50 a 64 años y 41,8 de 65 a 74 años), y asciende bruscamente a partir de esa edad (89,5 de 75 a 84 años y 230,8 en mayores de 84 años). La incidencia en hombres (17,5 por 10.000) es superior a la incidencia en mujeres (11,0 por 10.000). La mortalidad en hombres y mujeres no difiere significativamente, siendo el grupo de 65-74 años el que presenta una mayor mortalidad (fig. 2).
Figura 1. Incidencia por 10.000 habitantes de sepsis grave hospitalizada por sexo y grupo de edad.
Figura 2. Mortalidad de sepsis grave hospitalizada por sexo y grupo de edad.
Según la tabla 2, las disfunciones orgánicas más frecuentes fueron la renal (39,7%) y respiratoria (35,7%). Un total de 570 pacientes presentaron disfunción renal y respiratoria simultáneamente. El 78,1% de los pacientes presentó un único fracaso orgánico. Un total de 4.294 pacientes (61,6%) presentaban además de sepsis severa alguna de las siguientes patologías: neoplasia, diabetes mellitus, enfermedad pulmonar obstructiva crónica (EPOC), insuficiencia cardíaca, cardiopatía isquémica, enfermedad cerebrovascular o cirrosis. La mortalidad global intrahospitalaria fue de un 33%, con un total de 2.301 fallecimientos. El riesgo de fallecimiento se incrementa con el número de órganos afectados. Es especialmente alto en el fracaso hepático o cardiovascular y menor en la disfunción neurológica. Las neoplasias y las cirrosis son las comorbilidades con mayor mortalidad, presentando la diabetes y la EPOC valores de riesgo inferiores al total de la muestra. La estancia es significativamente más prolongada en los episodios con 2 ó 3 disfunciones orgánicas, con fracaso respiratorio (44 días) y en aquellos con enfermedad cerebrovascular o neoplasia. En los casos con fallecimiento es significativamente inferior al promedio global (25 días). Por fallos orgánicos, destacan los costes asociados con el tratamiento de fallos respiratorios, renales y cardíacos. Con respecto a la comorbilidad, el mayor coste se observa en pacientes con neoplasias.
Tal y como se aprecia en la tabla 3 se registraron 12.068 infecciones, es decir, una media de 1,7 casos por episodio. En 3.583 de los casos de sepsis (51,4%) se registró un cultivo positivo y 3.386 presentaron dos o más. Los microorganismos más frecuentemente identificados fueron Streptococcus sp., Staphylococcus sp., Escherichia coli y Candida sp. Las estancias medias más prolongadas están asociadas con infecciones por Staphylococcus sp. (55,8 días) y Pseudomonas sp. (63,9 días), siendo las menores aquellas que se observan en infecciones por Neisseria meningitidis (16,9 días). La estancia media es más alta en los episodios con tres o más infecciones registradas (49,2 días). El mayor riesgo de fallecimiento se presenta en aquellos episodios en los que se diagnosticó una infección por Streptococcus pneumoniae o Candida sp. Respecto a los costes totales asociados con estas infecciones, los más elevados corresponden a los estafilococos (casi 13 millones de euros).
DISCUSIÓN
Este trabajo es el primer estudio de base poblacional que se realiza en España en el que se explora la incidencia poblacional de la sepsis grave hospitalizada y en el que se realiza una aproximación a algunos aspectos clínico-epidemiológicos de interés y de consumo y coste económico de los recursos utilizados para su manejo. Los resultados del mismo ponen de manifiesto la elevada frecuencia de sepsis grave, la alta mortalidad con la que se asocia y el importante impacto que tiene sobre los servicios de salud.
La principal limitación de nuestro estudio deriva de las propias características de la fuente de información utilizada, el CMBD. En primer lugar, la utilización de datos administrativos presenta limitaciones para obtener una definición válida de sepsis grave. La utilización de los códigos de la CIE 9-MC plantea, por una parte, dificultades para identificar los signos clínicos de la respuesta inflamatoria sistémica ante la infección, y por otra no permite asegurar que la secuencia de diagnósticos sea infección-disfunción orgánica y no en sentido inverso. En segundo lugar, la definición adoptada en este trabajo ha sido objeto de ciertas críticas porque se ha planteado que podría sobreestimar la incidencia de sepsis grave6. No obstante, también se han señalado los posibles problemas de sensibilidad que tendrían este tipo de sistemas de información para identificar los pacientes con sepsis, lo que podría infraestimar su incidencia16. Esta base de datos presenta también el inconveniente de que no es posible identificar los servicios hospitalarios en los que los pacientes han estado ingresados, lo que impide estimar el número de episodios de sepsis grave que reciben atención en UCI. Por otra parte, la propia naturaleza de la información que se recoge impide estimar la gravedad en función de métodos habitualmente utilizados en la clínica para medir el riesgo de este tipo de pacientes (APACHE, SAPS, MPM o SOFA). Aunque el debate sobre la validez de este tipo de definiciones sigue abierto17, bases de datos administrativas como el CMBD se han utilizado para analizar la utilización de servicios de salud por problemas de salud específicos, como en el caso de la sepsis, y para estudiar los factores relacionados con sus resultados. Hay que señalar que la dificultad de categorizar los episodios en las categorías señaladas por la clasificación de la ACCP/ SCCM es extensible también a los estudios realizados con bases de datos clínicos, donde existe una importante heterogeneidad que complica la propia «comparabilidad» de los estudios18. Aunque este tipo de bases de datos no pueden por sí solas dar respuesta a las principales preguntas pendientes de resolver en la sepsis19, su análisis es un paso para conocer mejor este complejo síndrome.
La sepsis grave es un proceso grave y frecuente. Como comparación, señalar que en el año 2001 se dieron en la CM un total de 5.306 altas por infarto agudo de miocardio, con una mortalidad intrahospitalaria de 10,8%20. En este trabajo la incidencia de sepsis grave que se ha obtenido es superior a la que otros autores habían descrito en estudios de base poblacional en Estados Unidos6,12 y Noruega21. Respecto a la situación en España, un trabajo previo llevado a cabo en la CM identificó una incidencia de 33,3 casos de sepsis por 10.000 mayores de 18 años en tres hospitales que atienden una población de 580.000 personas. En dicho trabajo se identificaron todos los casos de sepsis, independientemente de que estuvieran ingresados o no en UCI. De ellos, el 29% desarrollaron sepsis grave22.
La mortalidad por sepsis grave observada en este trabajo (33%) es elevada, más alta que la obtenida en estudios poblacionales en Noruega (27%) y Estados Unidos (22-29%), pero más baja que la obtenida en estudios de base hospitalaria o en UCI en España (40%)23 u otros países (35-47%)24-27, aunque similar a la del grupo placebo del estudio PROWESS (30,8%)5, en los casos con sepsis grave en tres hospitales españoles (28%)22 o en un estudio poblacional en Australia (31,1%)28. Las diferencias en los sistemas de información con los que se han elaborado estos trabajos podrían explicar tanto las diferencias observadas en la incidencia de sepsis grave, como las referidas al riesgo de mortalidad para los diferentes fracasos orgánicos, infecciones o comorbilidades que se analizan en este trabajo.
Respecto a las variables asociadas con la mortalidad, este estudio ha puesto de manifiesto la importante asociación que se observa con el aumento del número de fallos orgánicos. Además, los resultados reflejan un riesgo más elevado en algunos tipos específicos de disfunción orgánica, en casos con ciertos diagnósticos asociados como comorbilidad o con determinadas infecciones. La alta mortalidad asociada con fracasos cardíacos o respiratorios había sido descrita previamente29. En este trabajo se observa una mayor mortalidad por fallo cardíaco y hematológico que en el trabajo de Angus12, que utiliza una fuente de información similar. Por otra parte, el fracaso neurológico aparece con un efecto protector en relación con la mortalidad, tal y como también sucede en dicho trabajo.
Los costes generados por la sepsis grave suponen unos 10.000 euros por episodio. Esta cifra es más baja que la estimada en Estados Unidos (34.000 euros por caso) u otros países europeos (de 23.000-29.000 euros por caso)30. Como en otros estudios31, en este trabajo también se observa cómo el coste en los episodios que fallecen (11.199,9 euros) es superior al de los que no fallecen (9.494,1 euros), posiblemente por la mayor gravedad que presentan dichos pacientes y al mayor esfuerzo terapéutico que reciben. De forma comparativa, el coste generado por la sepsis grave en la CM, más de 70 millones de euros, es muy superior al que representa la atención al infarto agudo de miocardio que supone unos 16 millones de euros (datos no publicados elaborados por los autores a partir de la información del CMBD).
La principal conclusión que puede extraerse de la información proporcionada por este trabajo es que la sepsis es un importante problema de salud pública. Pese a los avances y mejoras en su tratamiento, lo que se traduce en mejoras en los resultados24, la mortalidad es aún muy alta, por lo que sigue siendo necesario mejorar tanto el manejo de estos pacientes como intensificar la investigación sobre este problema.
Declaración de conflicto de intereses
Los autores han declarado no tener ningún conflicto de intereses
*Este trabajo ha sido financiado, en parte, por la Red de Investigación Cooperativa de Investigación de Resultados y Servicios de Salud
G03-202 del Instituto de Salud Carlos III.
Correspondencia: Dr. A. Sarría Santamera.
Agencia de Evaluación de Tecnologías Sanitarias.
Instituto de Salud Carlos III.
C/ Sinesio Delgado, 4.
28029 Madrid. España.
Correo electrónico: asarria@isciii.es
Manuscrito aceptado el 6-III-2006.








