La administración de dosis crecientes de la heparina de bajo peso molecular certoparina no modifica el pronóstico funcional de los enfermos con accidente cerebrovascular isquémico.
Artículo: Diener HC, Ringelstein EB, Von Kummer R, Langohr HD, Bewermeyer H, Ladgraf H, et al, for the Therapy of Patients With Acute Stroke (TOPAS) Investigators. Treatment of acute ischemic stroke with the low-molecular-weight heparin certoparin. Results of the TOPAS Trial. Stroke 2001;32:22-9.
Antecedentes: la investigación clínica en el abordaje del accidente cerebrovascular (ACVA) isquémico agudo se está enfocando hacia la restauración de la perfusión (uso de agentes trombolíticos), la neuroprotección para limitar el daño neuronal y la prevención temprana de nuevos episodios isquémicos (prevención secundaria) con anticoagulantes.
El uso de agentes antitrombóticos, especialmente heparinas, estaría potencialmente justificado por los efectos de estos fármacos sobre la inhibición de la progresión del coágulo, la prevención de nueva embolización y la facilitación de la lisis del coágulo.
Existen dos ensayos clínicos que valoran la eficacia de las heparinas de bajo peso molecular en los pacientes con ACVA isquémico. En el estudio FISS, el uso de nadroparina se asoció con una disminución de la mortalidad y de la dependencia funcional a los 6 meses. El efecto fue dependiente de la dosis. En el estudio FISS bis, la administración de fraxiparina no modificó el pronóstico de los pacientes con ACVA isquémico.
Objetivo: evaluar el efecto de diferentes dosis de una heparina de bajo peso molecular, certoparina, sobre el pronóstico funcional de pacientes con ACVA isquémico agudo.
Diseño: ensayo clínico con asignación aleatoria.
Lugar: 57 hospitales en Alemania.
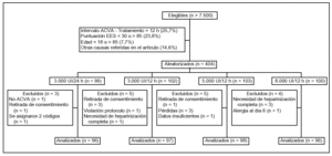
Pacientes(tabla 1 y fig. 1):
Criterios de inclusión: edad entre 18 y 85 años y diagnóstico clínico de ACVA isquémico agudo que afecta a territorio carotídeo o vertebrobasilar manifestado clínicamente por paresia de moderada a grave de un brazo, una pierna o ambos, con menos de 12 h de evolución, y con una gravedad entre 30 y 85 puntos determinada por la Escala Europea de Ictus.
Todos los pacientes debían ser capaces de seguir el tratamiento.
Criterios de exclusión:a) imposibilidad para realizar TC antes de la aleatorización; b) signos de hemorragia intracerebral o hemorragia subaracnoidea o cualquier otra enfermedad cerebral estructural; c) hipodensidad mayor de un tercio del territorio de la arteria cerebral media; d) déficit neurológico inestable durante los 60 min previos al inicio del tratamiento; e) déficit neurológico previo que pudiera ocultar la capacidad para detectar una mejoría del ictus isquémico actual; f) inestabilidad hemodinámica (presión arterial sistólica > 220 o < 90 mmHg y/o presión arterial diastólica > 120 o < 60 mmHg); g) enfermedades previas graves (infección, tumor activo, recurrente o metastásico, enfermedad renal o hepática avanzadas); h) hemorragia grave en los últimos 12 meses; i) trombocitopenia o coagulopatía en el último mes; j) retinopatía diabética grave; k) alergia o hipersensibilidad a la heparina, y l) embarazo o lactancia.
La Escala Europea de Ictus valora 14 ítems. La puntuación mínima (máximo deterioro funcional) es 0, y la máxima (normalidad), 100 puntos. Se ha comparado con otras escalas validadas para estimar la gravedad del ictus, con índices de correlación altos (r > 0,8). Es reproducible cuando la utilizan personas entrenadas (kappa > 0,7).
Intervenciones que se comparan:
Grupo certoparina 3.000 U subcutáneas en dosis única diaria. Ésta es la dosis utilizada para profilaxis de la enfermedad tromboembólica tras la cirugía abdominal o de cadera.
Grupo tratamiento certoparina 3.000 U subcutáneas dos veces al día.
Grupo tratamiento certoparina 5.000 U subcutáneas dos veces al día.
Grupo tratamiento certoparina 8.000 U subcutáneas dos veces al día. Ésta es la dosis utilizada para el tratamiento de la flebotrombosis profunda.
La duración del tratamiento fue de 12 a 17 días.
Durante el período de tratamiento se permitió el uso de aspirina, pero no se autorizó el uso de ningún otro agente anticoagulante o antiplaquetario.
Asignación aleatoria: sí, estratificada por localización del accidente cerebrovascular (carotídeo/vertebrobasilar). No consta si se mantuvo oculta.
Enmascaramiento: sí.
Desenlaces principales: situación funcional desfavorable definida como un índice de Barthel < 90 puntos a los tres meses. A los que fallecieron 30 (7,4%) se les asignó el valor del índice de Barthel más bajo.
Análisis por intención de tratar: no estrictamente.
Tras la asignación aleatoria se excluyó a 17 pacientes (4%) del análisis. Un comité, que desconocía el tratamiento asignado y los desenlaces, excluyó a 4 pacientes. Otros 13 pacientes fueron excluidos del análisis por otros motivos.
Resultados principales (tablas 2 y 3).
Información sobre costes: no consta.
Financiación del estudio: Novartis Pharma GmbH, Alemania.
Figura 1.
Conclusiones de los autores: el uso de certoparina hasta una dosis de 8.000 U antifactor X activado (aXa) no mejora el estado funcional de los pacientes con ACVA isquémico a los tres meses.
Conclusiones de los revisores: las conclusiones de los autores están fundamentadas en los resultados obtenidos. La población incluida en el estudio tuvo una mortalidad inferior (7,4%) a la de otros ensayos clínicos sobre el uso de heparinas de bajo peso molecular en los pacientes con ACVA. De igual modo, el porcentaje de desenlaces desfavorables a los tres meses en este estudio es inferior al del ensayo clínico con nadroparina (grupo placebo, 64%; grupos tratados, 57%). Por tanto, las poblaciones aparentemente son diferentes entre estos estudios, lo que podría justificar en parte la diferencia de efectos observada. En una revisión realizada por la colaboración Cochrane la estimación global del efecto de los dos ensayos clínicos publicados hasta 1999 (FISS, FISS bis) no evidenciaba efecto beneficioso significativo con el uso de nadroparina o fraxiparina (RR para un resultado desfavorable = 0,93; IC del 95%, 0,84-1,04). Los resultados de este nuevo ensayo clínico no modifican sustancialmente el efecto global (RR para un resultado desfavorable = 1,03; IC del 95%, 0,92-1,14). En el momento actual la administración de heparinas de bajo peso molecular a dosis superiores a la de la profilaxis de la enfermedad tromboembólica no está indicada en los pacientes con ACVA.
Otras referencias
Cabestrero Alonso D, Gálvez Mújica MA, Martín Rodríguez C, Cidoncha Gallego M, García de Lorenzo A. Heparinas de bajo peso molecular en pacientes críticos: usos, indicaciones y tipos. Med Intensiva 2001;25:18-26.
Gubitz G, Counsell C, Sandercock P, Signorini D. Anticoagulants for acute inschaemic stroke. En: The Cochrane Library, Issue 3, 2001. Oxford: Update Software.
Hommel M, for the FISS-bis Investigators Group. Fraxiparine in Ischaemic Stroke Study (FISS bis) [abstract]. Cerebrovasc Dis 1998;8(Suppl 4):19.
Kay R, Wong KS, Yu YL, Chan YW, Tsoi TH, Ahuja AT, et al. Low-molecular weight heparin for the treatment of acute ischemic stroke. N Engl J Med 1995;333:1588-93.
Liu M, Wardlaw J. Thrombolysis (different doses, routes of administration and agents) for acute ischaemic stroke (Cochrane Review). En: The Cochrane Library, Issue 3, 2001. Oxford: Update Software.
Wardlaw JM, Del Zoppo G, Thrombolysis (different doses, routes of administration and agents) for acute ischaemic stroke (Cochrane Review). En: The Cochrane Library, Issue 3, 2001. Oxford: Update Software.






